梦远书城 > 邹韬奋 > 职业心理学 | 上页 下页
第二章 个性差异之量度


  吾人既已研究个性差异之原因,为研究职业心理学之背景,请再进而研究如何量度个性差异之程度。

  量度个性差异之必要 吾人诚欲应用研究个性所得之结果,则在理论与实施各方面,对于一群内某种特性,或几种特性,皆须求得一种量度之方法。而且有时不但量度而已,并须比较各种特性。诚欲从事比较,苟仅知某人所得关于某种特性之测验分数较一群中之“平均”或“中数”多若干分,或少若干分;而未知此一群中各人测验分数之差别情形,则此人在此一群中所处之地位(指程度),仍无明确之表示也。试举一例以明之。例如此一群中受同一测验者有百分之五十,其所得之分数与“平均”比较之数,皆与此人所得之比较结果相似,则此人之程度不能有所超出。如此一群中仅有百分之五,所有与“平均”比较之数,与此人相似,则此人之程度即可视为超越矣。除此之外,关于量度个性,尚有一种需要,即尚须应用明确的方法,求出所谓“集中趋势”(central tendency)(即测验法中所称“平均”mean“中数”median或“众数”mode)之“可靠性”(reliability)。如所测验之个性愈有变异,则所测验之人数当愈多,始能获得满意之标准或“平均”。

  关于量度某种个性之差异程度,已有数法最常用者,兹略述其概要如左:

  (1)次数分配曲线(frequency curve) 所谓次数分配曲线,例如下图:平线代表全距离分数,由左向右,起自最低之分数,依次向右,结以最高之分数(此种种分数即由测验一群儿童某种能力所得之结果)。在平线中每一分数之上,可依得此一级分数人数之多寡,根据所定之单位(如以一人为一单位之类),记一点。俟各点记毕,以一曲线连之,即成所谓次数分配曲线。此图之功用,在能用图表示分数之分配大概,由此得觇个性差异之大略情形。如吾人已测验某人所得之分数,则察视此种曲线,一望而知此人在本群中所居之程度地位。就严格言之,此法尚不能称为明确的量度,惟以其能藉图画表明分数分配之大概,用之者颇多,尤以人数在“平均”分数以上或以下者较多时更为有用。

  职业心理学

  上图所示之曲线,乃一种“常态分配”(normal distribution),盖此图左右非常均匀也。受测验之人数愈多,则此种曲线愈近常态。如所得之曲线左右差池不均,称为“偏态分配”(skewed distribution)。

  (2)全距离分数(range of scores) 所谓全距离分数,即是从最小分数至数最大分数之距离。有时欲知所测验之全群成绩,仅须叙述全距离分数,即可知其中有无甚大之差异,并可知此群所具之大概程度。核算时,只须从最大分数内减去最小分数。惟此只能作为一种参考之量数,亦非精确之量度也。

  (3)二十五分差距离(semi-inter-quartile range) 较全距离分数更准确者为二十五分差距离,包含全体分数之中间50%,除去最高分数之四分之一与最低分数之四分之一。此法可表明全群中成绩之中间一部分,占全部分之一半。如以Q代二十五分差,其核算之公式如左:

  职业心理学

  公式中之Q1系代表下二十五分点,为一种点数,在此点数以下有全体分数之25%,在此点数以上有全体分数之75%。Q3系代表上二十五分点,亦为一种点数,在此点数以上有全体分数之25%,在此点数以下有全体分数之75%。

  (4)平均差(average deviation, A. D. , or mean deviation, Mn. D.) 就严格言之,上述之三法,其功用只能作为一种参考的量数;若“平均差”则比较的更为明确之量数矣。然平均差尚属明确量数之最简单者,乃计算“均方差” (standard deviation)或“机误”(probable error)之第一步也。所谓平均差,盖指个人所得之分数与一群中之平均或中数比较之平均差数。其核算方法如左:(差数之正负号不计)

  职业心理学
  职业心理学

  兹再将上述之平均差算法解释如左。

  (甲)未归类之分数:

  (a)将原来之分数列成顺序分配。(此一步可省)

  (b)人数=24,中数为57。(中数系由2除分数总数所得)

  (c)求各分数与中数之差数。第一个分数为20(为15-24.9之中点)与中数相差37,第三个分数相差17,第六个分数相差7,余类推。负号可不用,因与实际上无关系。

  (d)差数之总数为346,正负号不计。

  (e)平均差等于人数除差数之总数。

  (乙)已归类之分数:

  (a)将原来差数重行排列,求次数分配。

  (b)第一级15-24.9之离中差为37,第二级为27,余类推。此差数并非级之差数,乃实际之差数。

  (c)次数乘差数。例如第一级之次数有2,故用2,乘差数37,总数为74。第二级之次数为零,故总数亦为零。第三级次数为3,差数为17,相乘得51,余类推。

  (d)差数之总数为346,正负号不计。

  (e)平均差=346/24=14.416+

  就常态分配言,在“集中趋势”上下之各一个Q包含全体分数之50%,在“集中趋势”上下之各一个平均差包含全体分数之57.5%,故后者之数较前者为大。

  (5)均方差(standard deviation, S. D.) 在“集中趋势”之上下各一个均方差,约占全体分数之68%。如所得之结果系常态曲线,于“中数”左右依均方差之长度作一记号,在此两记号上画两垂线,则能包含曲线内68.26%之面积,换言之,即能包括全体分数之68.26%。其核算方法如左:

  职业心理学

  兹再将上述之均方差算法解释如左:

  (甲)未归类之分数:

  (a)将原来之分数列成顺序分配。(此一步可省)

  (b)人数=24,平均数为7.0。因欲免除差数之小数,故用假定的平均数7.5代替平均数7.0。如不用7.5,用9.5或2.5均可。(平均数7.0系用人数除分数总数所得,所以须加.5,因2分实际为2-2.999中点为2.5)。

  职业心理学
  职业心理学

  (c)求各分数与假定的平均数之差数。第一个分数为2,实际为2-2.99,中点为2.5,与假定之平均数相差为5。余类推。

  (d)各差数均自乘。

  (e)差数方之总数为124。

  (f)均方差S. D. 为人数除差数方之总数,减去校正数的方之方根。校正数的平均数与假定的平均数之差数,在此例内为.5。

  均方差S.D.=职业心理学

  (乙)已归类之分数:

  (a)将原来分数,重行排列,求次数分配。

  (b)人数=24,平均数=7。

  (c)将接近分配中央任何一级之中点,用为“参照点”。凡用假定的平均数,皆取一级的中点。假定的平均数为7.5。

  (d)求各级与假定平均数之差数。

  (e)差数自乘,再乘次数。从上边乘起:(5)2×1=25,(4)2×1=16,(3)2×2=18。余类推。

  (f)均方差S.D.=职业心理学平均数与真实的平均数之差数,在此例内为.5。倘遇无差数,则校正数为零。所以须用假定的平均数,再行校正,盖欲便于核算计,免除小数搀入。

  (6)机误(probable error, P. E.) 所谓机误,亦与分配曲线图有关系。此指量表上(即分配图之底线)之一种距离单位;如在“中数”左右,依机误之距(即长度)作记号,即可表明曲线内全部面积之50%,换言之,即包含全体分数之50%。其算法只须将.6745乘均方差S.D.即得。其公式如左:

  职业心理学

  公式中之d指中数之差数,∑指总数,N指人数。

  左列一表,表示依据以P. E. 为单位离开“平均”之远近,其所包含之全体分数中百分之几亦因之而异。惟此表仅限于常态次数曲线。

  职业心理学

  以上所述可得核算之各种方法,皆以数目字表明在“量表”上与“平均”相离之“距”,藉此表明一级或一群中个性差异之大概趋势。此数法皆应用统计学于教育方面者也。此外统计学中尚有一法与个性差异之量度亦有重要之关系,即所谓相关度。

  相关度之创始 相关度创自葛尔顿(Galton),葛尔顿研究遗传,需要此种量度方法,故此事之探讨,由彼开其端焉。关于相关度之进化史与其公式之沿革,其详情非本章范围所及。惟“相关系数”(coefficient of correlation)在心理学、教育学、经济学等等专门科学中皆有甚大之贡献,尤为研究个性者所不可不知,故其功用与核算方法,为研究职业心理学者所宜特加致意。

  相关度之意义 所谓相关度,乃一种方法,用以鉴定一组人,或一组学校,或其他团体,其所有之两种成绩间有何连带关系?如两种之间有绝对之正比例关系,相关系数(r)为+1.0;如两种之间仅有反比例之关系,则相关系数为-1.0。如两种成绩彼此间毫无关系,则相关系数为0。据经验所示,自0至±.4相关为低;自±.4至±.7之相关颇有关系;自±.7至±1.0之相关程度为高者。

  相关度在教育方面之功用 相关度在教育方面之功用甚大。吾人所采用之智力测验或教育测验,其结果是否可恃?教师之评判与测验之等第是否相符?各种能力彼此间有否连带关系?各种智力与各种科目彼此间是否有连带关系?学业成绩与实际事业之成功有多大关系?此类问题之答案,皆得以相关度之方法解决之。

  核算相关度之方法 现今最通行之核算相关度方法,皆用潘阿生(Pearson)所创作之公式:

  职业心理学

  公式中之r指相关系数,∑指总数;x指第一组测验分数与平均数之差数,y指第二组测验分数与平均数之差数;N指人数;σx指第一组测验之均方差,σy指第二组测验之均方差。上述公式亦可列成如左之公式:

  职业心理学

  兹举一例如左,说明用此公式核算相关度之方法:

  职业心理学
  职业心理学

  兹将上表所示相关系数核算法说明如左:

  (a)依各人之号数,将两种测验之分数依次排列,例如第一人所得测验Ⅰ之分数为2,所得测验Ⅱ之分数为50。余类推。

  (b)求两种分数之平均数。测验Ⅰ之平均数为7,测验Ⅱ之平均数为57.5。

  (c)求测验Ⅰ分数与平均数之差数x,测验Ⅱ分数与平均数之差数y。例如测验Ⅰ之平均数为7.0,第一人之分数为2,比较平均数少5,故在x项下写一负5。

  (d)将x与y之数目自乘。例如-5自乘为25。-7.5自乘为56.25。

  (e)求x与y之相乘数。例如-7.5×-5=37.5。又如-4×-7.5=30.0。

  (f)求x2与y2之总数  ∑x2=124  ∑y2=7850

  (g)求xy之总数。正的xy数=434,负的xy数=135。两数之总数∑xy=299。

  (h)将所得之数目代入公式,r=.303

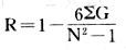
  均方相关法与等级相关法 上述之方法系“均方相关法”(product-moment method),此法之核算,可不用相关数对数表,其结果比较的最为可靠。此外尚有一更为便利之核算方法,称为“等级相关法”(rank correlation method)。求等级相关,可用斯比亚门之公式(Spearman "Footrule" Formula):

  职业心理学

  公式中之G指“名次较数”(gains in rank),∑指总数,N指人数,R指名次相关系数。用上列公式得到“名次较数”后,尚须参照潘阿生之对数表,化成相关系数。

  核算相关度之对数表 化R为r之对数表

  职业心理学

  职业心理学

  既有此表,请再举一例,以示等级相关之核算法:

  职业心理学

  兹将上述用表核算法说明如左:

  (a)先将各人之测验Ⅰ分数,列成比较的等第。例如2分列第一或1;3分列2;4分有两个,平分3、4等第,故各列3.5;5分有四个,将5、6、7、8四个等第平均之后,各得6.5;余类推。测验Ⅱ之分数亦列成等第。例如20分有两个,平均1、2两等第,各得1.5;40分有三个,平均3、4、5等第,各得4;余类推。测验Ⅰ之分数系以量小者列在最前,如以最大者列在最前亦可,惟两种测验之等第须相对照。

  (b)核算超过第一次等第之数,获得等第较数。例如8.5-1=7.5;8.5-2=6.5。余类推。

  (c)求得等第较数之总数。∑G=74.5

  (d)代入公式,R=.224,参照对数表化成r,r=.37


梦远书城(my285.pro)
上一页 回目录 回首页 下一页